Ciencia y Deporte. Vol. 9. No. 2, May -August, 2024, p.e209

 

Original article

DOI:https://doi.org/10.34982/2223.1773.2024.V9.No2.00 3

 

Relationship of jump height to squat mechanical variables in juvenile athletes

 

Relación de la altura de salto con las variables mecánicas de la sentadilla en deportistas juveniles

 

Relação da altura do salto com as variáveis mecânicas do agachamento em atletas juvenis

 

Luis Benavides Roca1* , Cristian Salazar Orellana1 , Gastón Díaz Coria2

 

1 Santo Tomás University, Department of Sports Sciences. Santiago de Chile, Chile.

2 Universidad Católica del Maule (Catholic University of the Maule), Department of Sports. Talca, Chile.

 

* Corresponding author: benavides.roca@gmail.com

 

Received: 04/12/2023
Accepted: 01/24/2024


ABSTRACT

Introduction: jumping and squatting are recurrent movements within the training processes of an athlete, which is why it is necessary to understand the variables that interact in the development of performance objectives.
Objective: to determine the relationship between jump height and the mechanical variables of the squat.
Materials and methods: the methodology used is of a quantitative correlational type, with a cross-sectional design, where 43 juvenile athletes (men=34, women=9) were evaluated in the counter-movement jump (CMJ), half squat jump (SJ) and free jump test, along with this, 6 repetitions of squats at maximum speed were performed, where the best possible repetition was considered.
Results: the main results obtained were the significant relationship between the mean propulsive velocity and the CMJ (r=0.75, p: 0.00), SJ (r=0.69, p: 0.00) and free (r=0.72, p: 0.00).
Conclusions: finally, it is concluded that there is a relationship between jumping capacity and the squat execution speed.

Keywords: performance, speed, strength and power.


RESUMEN

Introducción: el salto y la sentadilla son movimientos recurrentes dentro de los procesos de entrenamiento de un deportista, por lo cual, se hace necesario comprender las variables que interactúan en el desarrollo de los objetivos de rendimiento.
Objetivo: determinar la relación de la altura del salto con las variables mecánicas de la sentadilla.
Materiales y métodos: la metodología utilizada es de tipo cuantitativa correlacional, con un diseño transversal, donde se evalúan a 43 deportistas juveniles (hombres = 34, mujeres = 9), en las pruebas de salto en contra movimiento (CMJ), salto de media sentadilla (SJ) y salto libre, junto con esto, se ejecutaron 6 repeticiones de sentadillas a máxima velocidad, donde se consideró la mejor repetición posible.
Resultados: se obtuvieron, como principales resultados, la relación significativa entre la velocidad media propulsiva y el CMJ (r=0.75, p: 0.00), SJ (r=0.69, p: 0.00) y libre (r=0.72, p: 0.00).
Conclusiones: finalmente, se concluye que existe una relación entre la capacidad de salto y la velocidad de ejecución de la sentadilla.

Palabras clave: desempeño, velocidad, fuerza y potencia.


RESUMO

Introdução: o salto e o agachamento são movimentos recorrentes nos processos de treinamento de um atleta, por isso é necessário compreender as variáveis que interagem no desenvolvimento dos objetivos de desempenho.
Objetivo: determinar a relação entre a altura do salto e as variáveis mecânicas do agachamento.
Materiais e métodos: a metodologia utilizada é do tipo correlacional quantitativa, com desenho transversal, onde 43 atletas juvenis (homens = 34, mulheres = 9) são avaliados nos testes de salto com contra-movimento (CMJ), agachamento médio. (SJ) e salto livre, juntamente com isso foram realizadas 6 repetições de agachamento em velocidade máxima, onde foi considerada a melhor repetição possível.
Resultados: como principais resultados, obteve-se a relação significativa entre a velocidade propulsiva média e o CMJ (r=0,75, p: 0,00), SJ (r=0,69, p: 0,00) e livre (r=0,72, p: 0,00).
Conclusões: por fim conclui-se que existe relação entre a capacidade de salto e a velocidade de execução do agachamento.

Palavras-chave: desempenho, velocidade, força e potência.


INTRODUCTION

Within the spectrum of physical training, there is an extensive knowledge on the development of strength, which catalogs it as an important element to obtain a better performance. The squat and the jump are basic exercises for the production and increase of this quality. Both actions are similar in their execution, but they have different objectives, the squat seeks to overcome a certain weight, while the jump seeks to rise as high as possible, overcoming the resistance of gravity. Therefore, the two exercises have similar components, but their use may have different approaches (Gutiérrez-Dávila, 2009. Likewise, Rojas (2018) points out that both movements are classified as power and strength exercises.

In sport there are technical actions that occur more frequently, where knee and hip flexion-extension patterns are the most recurrent, which, in turn, is linked to jumps and squats (Ródenas, Desantes and Ramírez, 2020), which are defined as influential gestures in an athlete's performance (Köklü et al., 2015).

Particularly, the squat is a multi-joint exercise that generates a great activation of the musculature, which is visualized in the speed of execution, the expiration of a load and the movement technique (Martínez, Acosta, and Ayala, 2022). According to this, it is possible to understand that the aforementioned parameters interpret the performance of a subject before strength situations from a mechanical perspective and what evidences the performance of specific actions (Rodríguez-Rosell et al., 2020). Around this, Gutiérrez (2019) points out that training with squats turns out to be a good option for the increase of an athlete's performance.

Likewise, jumping is established as a strength exercise, since it constitutes a basic gesture in the evaluation of this ability (Portilla-Dorado, Villaquiran -Hurtado, and Molano-Tobar 2019), due to the approximations obtained of power, reactive strength, elastic strength and explosive strength, which will be a reflection of success in the sport (Harper et al., 2020). Along with this, there are relationships between sport-specific components and jumping modalities (Babiloni-López et al., 2022), the most studied being the 90° squat jump (SJ) and the jump with counter movement without arm swing (CMJ), which, although they do not resemble sport techniques, are capable of reproducing in a good way the levels of strength, power or speed of an athlete. In addition, the practicality and accessibility of the measurement make the jumping ideal for testing the strength of a subject (Pleša et al., 2022).

According to the above, it is possible to understand that the squat is a movement related to the jump, due to its symmetrical character and its similarity in the vertical displacement, which leads to a transfer of the exercises (Mullican & Nijem, 2016). Along with this, there is an association between the height reached in the jump and the maximum weight lifted in the squat (Hermassi et al., 2019; Santos-García et al., 2008), however, there is a lack of knowledge about the relationship between jump performance and the mechanical parameters of the squat, so this research, is proposed as a central objective, to determine the relationship between the height of the jump with the mechanical variables of the squat.

 

MATERIALS AND METHODS

The present research is a quantitative cross-sectional study, with a correlational design between the mechanical variables of the squat and the height of the CMJ, SJ and free jumps.

Participants

The sample consisted of 43 subjects (men = 34, women = 9), belonging to the sports recruitment program of the Universidad Católica del Maule (Catholic University of the Maule, UCM, by its Spanish acronym), Chile. The athletes were part of the disciplines of soccer, volleyball, basketball, handball, athletics and gymnastics.

The selection of the sample is non-probabilistic by convenience, where there was first a review of the subject's sports background, to then be selected for the physical evaluation process.

In the admission processes of the Universidad Católica del Maule, Chile (UCM), there is a program to recruit athletes for admission to the institution. In the protocols established for this purpose, the guidelines and ethical regulations are established, which must be taken into account at the time of proceeding with the evaluations and data management. For this purpose, each athlete had to sign an informed consent prior to the evaluation, where they declared that they were aware of the characteristics of the tests and the processing of their data. The above is governed by the Helsinki treaty and the regulations of the University.

Instruments

To record the height of the jumps, the height was measured with the DM Jump temporary contact platform and the data was processed with the DM Jump V2.2 Beta software.

For the evaluation of the mechanical variables, a 1019 Hz linear position transducer (Chronojump BoscoSystem, Spain) was used, to obtain the variables of velocity, maximum velocity, power, maximum power, force and maximum force.

Procedure

The jumping evaluations were governed by the protocol proposed by Bosco in the SJ, CMJ and free modalities. The measurement establishes performing the SJ with a 90° knee flexion, with the feet parallel and the hands on the hips. As for the CMJ, it is necessary to start standing with the hands on the hips, and then perform a 90° knee flexion and rise. The free jump has the characteristic of being executed as comfortable as possible. The time between each evaluation was approximately three minutes.

To record the mechanical variables, the evaluation of six squats with 60% of the body weight was carried out, where the subject had to reach a 90° knee flexion, performing as quickly as possible. With this measurement, the variables of mean propulsive velocity (MPV), peak velocity (PV), power, maximum power, strength and maximum force were obtained from the best execution.

Prior to the evaluation, the athletes performed a 10-min warm-up, which consisted of joint movements, stretching, dynamic actions and an adaptation to the technique of each jump. A ten-minute break was taken between each evaluation.

Analysis

The statistical analysis was performed in the SPSS Statistics 22 program. The data were subjected to the Shapiro Wilk normality test and the descriptive statistics of mean and standard deviation were calculated for each parameter. The 95% confidence interval was considered. To correlate the data, Pearson and Spearman statistical tools were used, depending on the normality of each variable. Indices up to "0.39" were considered as a weak correlation, between "0.40 to 0.69" as a moderate correlation, from "0.70 to 0.89" as a strong correlation, while “≥ 0,9” will be considered a very strong correlation

 

RESULTS AND DISCUSSION

Table 1 shows the study variables, where the basic measurements of age (19.8±1.8), weight (71.7±10.6) and height (170.9±15.2) are found; the performances of the SJ (29.8±7), CMJ (34.7±7.7) and Free jumps (39.8±8.8); and the mechanical capacity in the squat with the variables of MPV (0.9±0.2), PV (1.5±0.3), Power (1149.8±366.7), maximum power (2017.7 ±560.3), strength (1275.1±251) and maximum strength (1902.7±352.5) (Table 1).

Table 1. - Characterization of the variables

Table 2 shows the correlations between jump height and squat mechanical variables. It is observed that mean propulsive velocity is the variable with the greatest influence on jumps (r =0.72; p =0.00), CMJ (r =0.75; p =0.00) and SJ (r = 0.69; p =0.00) respectively (Table 2).

Table 2. - Correlations between mechanical variables and jump height

a= very strong correlation, b= strong correlation, c= moderate correlation, d= weak correlation.

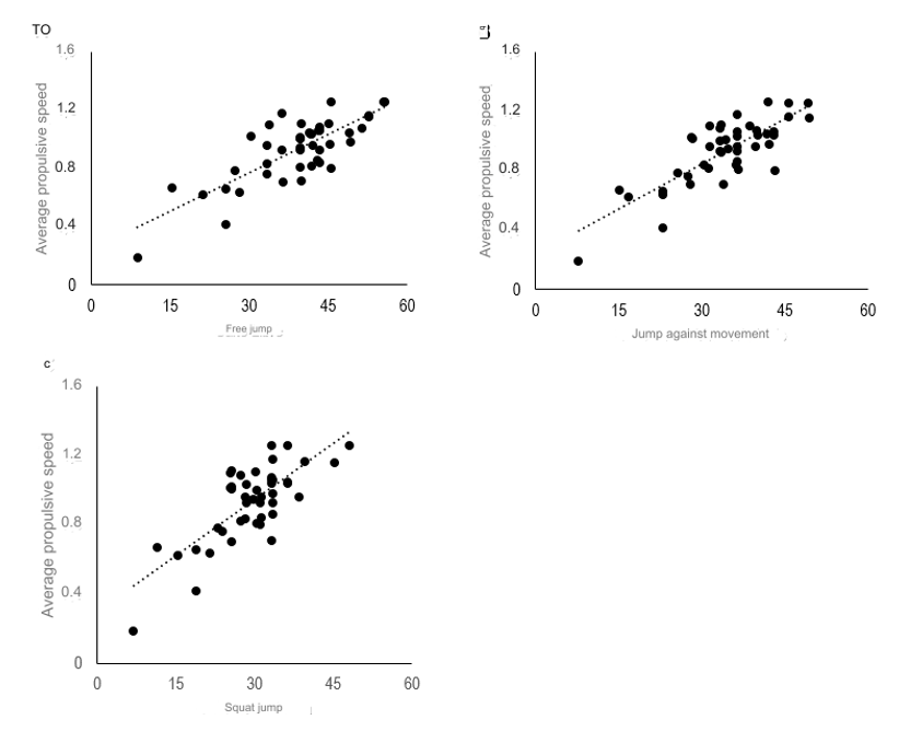
Figure 1 shows the scatter plots of the jump height and mean propulsive velocity variables (Figure 1).

Fig. 1. - Dispersion of mean propulsive velocity and jumps.

It is observed that there is a positive relationship between these parameters, which identifies that as the subject possesses more MPV in the squat, they obtain a greater jump height.

This research aims to investigate the relationship between the height of the jump and the mechanical characteristics of the squat. Both variables refer to strength components and are representative not only of an athlete's performance, but can also be predictors of injuries (Abd Rahim et al., 2020; Donohue et al., 2015).

The findings of this study, refer to the relationship between the mean propulsive velocity of the squat and jumps, mainly in the free and CMJ modalities, which would be explained by the involvement of the musculatures to similar movements (Santos- Garcia et al., 2008), since the squat and these types of jumps have a triple flexion-extension of the lower limbs (Gutiérrez-Dávila, 2019), represented by the functioning of the vastus lateralis, vastus medialis and gastrocnemius (Harry et al., 2018). In such a way, it is possible to associate that similar biomechanical patterns will generate a positive relationship, in the same way as those expressed by Scarneo -Miller et al. (2019), where he demonstrated that the components of the squat positively influence a functional task, such as jumping, furthermore, Wilson et al. (2013) mention that, to achieve an enhancing effect in jumping, patterns similar to the biomechanics of the squat must be generated, because it is classified as one of the multi-joint stimuli that increases performance (Bishop et al., 2017).

According to the previous analysis, the performance of these actions will be influenced by the viscoelastic component of the musculature (Franco- Marquez et al., 2015), since the movement pattern generated in the CMJ and in the free movement causes the activation of the stretch-shortening cycle, which, in turn, allows optimal performance in these ballistic situations (Rojano Ortega, 2021). From this point of view, the elastic resistance of the musculature, contributes to the coordination of muscle fibers that contract rapidly during the descent and ascent phases of the body (Franco-Márquez et al., 2015), represented through high levels of power (Castagna and Castellini, 2013).

In this sense, power, according to González-Badillo, Jiménez-Reyes and Ramírez-Lechuga (2017), indicates it as a dependent variable on jumping performance and is influenced by the improvement of this action (Can, 2018). The above would show the moderate correlations found in this article, however, the literature suggests that the relationships between these variables should be higher, since high levels of jump height project, project higher power values and better performance of the athlete. (Morin and Samozino, 2016). This indicates that the athletes in this article have difficulty in applying force and speed in the movements studied (Behm et al., 2017).

Specifically, jumping is one of the most widely used assessments to determine an athlete's ability (Fort- Vanmeerhaeghe et al., 2020), and it is associated with neuromuscular aspects that facilitate the understanding of high-speed exercises, with maximal power production and strength development (McMahon et al., 2018; Jimenez -Reyes et al., 2016). The evidence indicates that there is an agreement between high values of jump height and actions executed at high speeds (Bustos- Viviescas et al., 2017; Bautista et al., 2021), which is related to the data of the present study, where the CMJ is influenced by the mean propulsive velocity, which agrees with that described by Rodríguez-Rosel et al. (2020) that associates CMJ stimuli with increased execution speed, which also, is related to the optimization of specific sport gestures (Linthome, 2020).

Regarding the strength variable, it can be seen that there are weak correlations with the different types of jump. Consequently, these results are justified because the generation of high levels of force requires a longer production time than that of a jump. This analysis is linked to the research of Santos-García et al. (2008) where moderate relationships (r = 0.52 and 0.67) are observed between strength and height in the SJ and CMJ. On the other hand, the data reported in the study by McGhie et al. (2020) show non-significant relationships between these variables.

In general terms, the mean propulsive velocity is the variable that has the greatest influence on the jumps that have an elastic component in their execution. This characteristic is one of the main limitations of this article, due to the fact that intrinsic parameters of the musculature are unknown.

 

CONCLUSIONS

The main relationship that exists between jumping capacity and the mechanical variables of the squat in juvenile athletes is the association between mean propulsive velocity and CMJ. However, a more general analysis also links the parameters of peak velocity and free jump as adequate indicators to determine the performance of an athlete.

It is suggested that research similar to the present study be carried out, where each action can be investigated in greater depth, being able to incorporate a force platform and analyze greater mechanical variables.

 

BIBLIOGRAPHIC REFERENCES

Abd Rahim, M. A., Lee, E. L. Y., Abd Malek, N. F., Suwankhong, D., & Nadzalan, A. M. (2020). Relationship Between Physical Fitness And Long Jump Performance. 4(9), 21, 2-71. https://www.ijstr.org/final-print/apr2020/Relationship-Between-Physical-Fitness-And-Long-Jump-Performance.pdf

Babiloni-López, C., Úbeda-Pastor, V., & Llana-Belloch, S. (2022). El perfil fuerza-velocidad en salto y sprint. una revisión narrativa. EmásF, Revista Digital de Educación Física13(74). https://producciocientifica.uv.es/documentos/61dd2a93e1def56a644e319f

Bautista, I. J., Vicente-Mampel, J., Baraja-Vegas, L., & Martínez, I. (2021). Relación entre la potencia y velocidad en press de banca y la velocidad de lanzamiento de balón en jugadores profesionales de balonmano. Retos, (40), 53-59. https://recyt.fecyt.es/index.php/retos/article/view/82710

Behm, D. G., Young, J. D., Whitten, J. H., Reid, J. C., Quigley, P. J., Low, J.,. & Granacher, U. (2017). Effectiveness of traditional strength vs. power training on muscle strength, power and speed with youth: a systematic review and meta-analysis. Frontiers in physiology8, 423. https://pubmed.ncbi.nlm.nih.gov/28713281/

Bishop, C. J., Tarrant, J., Jarvis, P. T., & Turner, A. N. (2017). Using the split squat to potentiate bilateral and unilateral jump performance. The Journal of Strength & Conditioning Research31(8), 2216-2222. https://pubmed.ncbi.nlm.nih.gov/27806006/

Bustos-Viviescas, B. J., Acevedo-Mindiola, A. A., & Rodríguez-Acuña, L. E. (2017). Relación entre el salto vertical y el rendimiento de la velocidad en jóvenes futbolistas. E-motion: Revista de Educación, Motricidad e Investigación, (9), 13-24. https://rabida.uhu.es/dspace/bitstream/handle/10272/14283/Relacion.pdf?sequence=2

Can, I. (2018). Investigating the Relationship between Sprint and Jump Performances with Velocity and Power Parameters during Propulsive Phase of the Loaded-Squat Jump Exercise. Universal Journal of Educational Research6(4), 789-797. https://pdfs.semanticscholar.org/8bd3/b6fea7d847eefbfa706ac7898deaedda2aaf.pdf

Castagna, C., & Castellini, E. (2013). Vertical jump performance in Italian male and female national team soccer players. The Journal of Strength & Conditioning Research27(4), 1156-1161. https://pubmed.ncbi.nlm.nih.gov/22692110/

Donohue, M. R., Ellis, S. M., Heinbaugh, E. M., Stephenson, M. L., Zhu, Q., & Dai, B. (2015). Differences and correlations in knee and hip mechanics during single-leg landing, single-leg squat, double-leg landing, and double-leg squat tasks. Research in Sports Medicine, 23, 394-411. doi:10.1080/15438627.2015.1076413

Fort-Vanmeerhaeghe, A., Mila-Villarroel, R., Pujol-Marzo, M., Arboix-Alio, J., & Bishop, C. (2020). Higher vertical jumping asymmetries and lower physical performance are indicators of increased injury incidence in youth team-sport athletes. 36(8). 2204-2211 Journal of Strength and Conditioning Research. https://pubmed.ncbi.nlm.nih.gov/33009354/

Franco Márquez, F., Rodríguez Rosell, D., González Suárez, J. M., Pareja Blanco, F., Mora Custodio, R., Yáñez García, J. M., & González Badillo, J. J. (2015). Effects of combined resistance training and plyometrics on physical performance in young soccer players. Int Sport Med, 36, 906-914https://pubmed.ncbi.nlm.nih.gov/26180903/

García-Ramos, A., Pérez-Castilla, A., Morales-Artacho, A. J., Almeida, F., Padial, P., Bonitch-Góngora, J. & Feriche, B. (2019). Force-velocity relationship in the countermovement jump exercise assessed by different measurement methods. Journal of human kinetics67, 37. https://www.ncbi.nlm.nih.gov/pmc/articles/PMC6714365/

González-Badillo, J. J., Jiménez-Reyes, P., & Ramírez-Lechuga, J. (2017). Determinant Factors of the Squat Jump in Sprinting and Jumping Athletes. Journal of Human Kinetics58, 15. https://www.ncbi.nlm.nih.gov/pmc/articles/PMC5548151/

Gutiérrez, Á. E. (2019). Efecto de un entrenamiento combinado de sentadilla y arrastre (carga alta vs. carga baja) sobre el sprint, cambio de dirección, salto vertical y fuerza. MoleQla: revista de Ciencias de la Universidad Pablo de Olavide, 6 (33), 21-24. https://dialnet.unirioja.es/servlet/articulo?codigo=6887411

Gutiérrez-Dávila, M. (2019). Comparación de las sentadillas con salto usando máquina Smith y masa libre. Biomecánica27 (1). https://upcommons.upc.edu/bitstream/handle/2117/330424/9249-10407-1-PB.pdf

Harper, D. J., Cohen, D. D., Carling, C., & Kiely, J. (2020). Can Countermovement Jump Neuromuscular Performance Qualities Differentiate Maximal Horizontal Deceleration Ability in Team Sport Athletes?. Sports8(6), 76. https://www.mdpi.com/2075-4663/8/6/76

Harry, J. R., Paquette, M. R., Schilling, B. K., Barker, L. A., James, C. R., y Dufek, J. S. (2018). Kinetic and Electromyographic Subphase Characteristics With Relation to Countermovement Vertical Jump Performance. Journal of Applied Biomechanics, 34(4), 291-297. doi: https://doi.org/10.1123/jab.2017-0305

Hermassi, S., Chelly, M. S., Wagner, H., Fieseler, G., Schulze, S., Delank, K. S., & Schwesig, R. (2019). Relationships between maximal strength of lower limb, anthropometric characteristics and fundamental explosive performance in handball players. Sportverletzung· Sportschaden33(02), 96-103. https://pubmed.ncbi.nlm.nih.gov/29444539/

Jiménez Reyes P, Pareja Blanco F, Cuadrado Peñafiel V, Morcillo JA, Párraga JA, González Badillo JJ. (2016). Mechanical, metabolic and perceptual response during sprint training. J Sports Physiol Perform 2016;37(10):807-12. https://pubmed.ncbi.nlm.nih.gov/27286181/

Köklü, Y., Alemdaroðlu, U., Özkan, A., Koz, M., & Ersöz, G. (2015). The relationship between sprint ability, agility and vertical jump performance in young soccer players. Science & Sports30 (1), e1-e5. https://www.sciencedirect.com/science/article/abs/pii/S0765159714001087

Linthorne, N. P. (2020). The correlation between jump height and mechanical power in a countermovement jump is artificially inflated. Sports Biomechanics, 20(1). 1-19. https://pubmed.ncbi.nlm.nih.gov/32200754/

Martínez, M. A. M., Acosta, L. A. R., & Ayala, L. X. Q. (2022). Diferencias biomecánicas del gesto técnico de la media sentadilla libre en físico-culturistas profesionales y amateur/Biomechanical differences of the technical gesture of the free half squat in professional and amateur bodybuilders. PODIUM-Revista de Ciencia y Tecnología en la Cultura Física17(2), 466-477. https://podium.upr.edu.cu/index.php/podium/article/view/1258

McGhie, D., Østerås, S., Ettema, G., Paulsen, G., & Sandbakk, Ø. (2020). Strength determinants of jump height in the jump throw movement in women handball players. The Journal of Strength & Conditioning Research34(10), 2937-2946. https://pubmed.ncbi.nlm.nih.gov/29889774/

McMahon, J. J., Suchomel, T. J., Lake, J. P., & Comfort, P. (2018). Understanding the key phases of the countermovement jump force-time curve. Strength and Conditioning Journal, 40(4), 96106. https://journals.lww.com/nsca-scj/fulltext/2018/08000 /understanding_the_key_phases_of_the.10.aspx

Morin JB, Samozino P. (2016). Interpreting power-force-velocity profiles for individualized and specific training. Int J Sports Physiol Perform. 2016;11: 267272. pmid:26694658 https://pubmed.ncbi.nlm.nih.gov/26694658/

Mullican, K., & Nijem, R. (2016). Are unilateral exercises more effective than bilateral exercises? Strength & Conditioning Journal, 38(1), 68-70. https://doi.org/10.1519/SSC.0000000000000181

Pleša, J., Kozinc, Ž., Smajla, D., & Šarabon, N. (2022). The association between reactive strength index and reactive strength index modified with approach jump performance. PloS one17(2), e0264144. https://journals.plos.org/plosone/article?id=10.1371/journal.pone.0264144

Portilla-Dorado, E., Villaquiran-Hurtado, A., & Molano-Tobar, N. (2019). Potencia del salto en jugadores de fútbol sala después de la utilización del rodillo de espuma y la facilitación neuromuscular propioceptiva en la musculatura isquiosural. Revista de la Academia Colombiana de Ciencias Exactas, Físicas y Naturales43(167), 165-176. https://raccefyn.co/index.php/raccefyn/article/view/846

Ródenas, J. G., Desantes, A. T., & Ramírez, E. S. (2020). Relación entre la velocidad de ejecución de media sentadilla bipodal y unipodal con el triple salto unilateral. Revista Internacional de Deportes Colectivos, (42), 50-59. https://dialnet.unirioja.es/servlet/articulo?codigo=7385714

Rodríguez-Rosell, D., Yáñez-García, J. M., Mora-Custodio, R., Pareja-Blanco, F., Ravelo-García, A. G., Ribas-Serna, J., & González-Badillo, J. J. (2020). Velocity-based resistance training: Impact of velocity loss in the set on neuromuscular performance and hormonal response. Applied Physiology, Nutrition, and Metabolism, 45(8):817-828https://pubmed.ncbi.nlm.nih.gov/32017598/

Rojano Ortega, D. (2021). Variables cinéticas y stiffness vertical de bailarinas de ballet en la realización de un salto vertical. RICYDE. Revista Internacional de Ciencias del Deporte17(63). https://dialnet.unirioja.es/servlet/articulo?codigo=7708823

Rojas, C. A. (2020). Nivel de relación en el pico de fuerza entre el salto desde sentadilla profunda y el RM de sentadilla posterior en practicantes de Crossfit®. Revista Horizonte Ciencias de la Actividad Física11(2), 1-10. https://dialnet.unirioja.es/servlet/articulo?codigo=8019630

Sánchez-Medina, L., Pallarés, J. G., Pérez, C. E., Morán-Navarro, R., & GonzálezBadillo, J. J. (2017). Estimation of relative load from bar velocity in the full back squat exercise. Sports Medicine International Open, 1(02), E80-E88 https://pubmed.ncbi.nlm.nih.gov/30539090/

Santos-García, D. J., Valdivielso, F. N., Rubio, R. M. A., Ravé, J. M. G., Blázquez, A. A., & Fernández-Arroyo, V. M. (2008). Relación entre la fuerza máxima en squat y acciones de salto, sprint y golpeo de balón. (Relationship among maximal strength in squat exercise, jump, sprint and kicking ball performance). RICYDE. Revista Internacional de Ciencias del Deporte. doi: 10.5232/ricyde4(10), 1-12. https://www.redalyc.org/articulo.oa?id=71041002

Scarneo-Miller, S. E., Sorge, J. E., Beltz, E. M., Martinez, J. C., Root, H. J., Burland, J. P., & DiStefano, L. J. (2019). The relationship between single-limb squat and jump-cut kinematics. Sports biomechanics, 21(5) 1-12. https://pubmed.ncbi.nlm.nih.gov/31709890/

Wilson, JM, Duncan, NM, Marin, PJ, Brown, LE, Loenneke, JP, Wilson, SMC, Jo, E, Lowery, RP, and Ugrinowitsch, C. (2013). Metaanalysis of postactivation potentiation and power: Effects of conditioning activity, volume, gender, rest periods, and training status. J Strength Cond Res 27(3), 854-859. https://pubmed.ncbi.nlm.nih.gov/22580978/

 

Conflict of interest statement:
The authors declare having competing interests.

 

Author contribution statement:
The authors have participated in the redaction of the manuscript and the documentary review.

 


This paper is distributed under the terms of the Licencia CreativeCommons (CC) 4.0. (CC BY-NC-SA 4.0)
Copyright (c) 2024 Luis Benavides Roca, Cristian Salazar Orellana, Gastón Díaz Coria